How Good is My Model? Part 2: LLN, CLT, i.i.d., and a Messy World
Published:
In the last post, I discussed how a model’s performance is more faithfully reported as a distribution rather than a single value. Also, how it’s important to report it mindfully to distinguish between what is typical and what is expected, and how standard deviation (σ) can quantify a model’s stability. However, I also discussed that one distribution from a small test set is not guaranteed to give an overview of the model’s true distribution. In this post, I’ll discuss how to move forward from this bottleneck.
This post is also accompanied by a notebook to reproduce the figures and explore the concepts shown below.
TL;DR 
Describing the problem
I imagined that I have trained a model for predicting aqueous solubility of a molecule, and the question I am trying to answer is:
How good will this model be when tested on new molecule(s)?
In the unmeasured reality, my model’s performance follows a certain distribution with average (µ), standard deviation (σ), and a specific shape that tells me the common and rare cases.
To answer the above question, I will need to know this distribution so that I can make statements like:
- I know that 68% of my model’s errors are between these two values
- Sometimes (very rare, like 5%) it will make big errors (i.e., higher than this value).
- My model is stable because the error range it spans is small
- My model tends to overestimate rather than underestimate
All this information is directly reached from knowing the distribution of my model performance. So, how do I know the distribution of my model’s performance?
Identifying the challenges
Identifying a distribution shape to make such statements is not straightforward. And this will lead to a series of simplifications that I believe I need to be aware of, to help me talk about my model’s performance responsibly.
And here are these series of simplifications.
Estimating the distribution shape — GC theorem
Estimating the true shape of a distribution is not an easy thing to do. It requires testing my model on a huge number of molecules that are independent and identically distributed (i.i.d.), so that I see it performing in different situations. Therefore, I get to know what is common and what is rare based on counting these occurrences.
The Glivenko-Cantelli (GC) theorem in probability explains how the true shape of a distribution is guaranteed to emerge from counting the occurrences of a large number of i.i.d. observations.
However, the problem would be the same from last time: We do not have access to such huge datasets to test our model!
⚠️ Simplification 1
Estimating the full distribution shape is tough, because it requires huge i.i.d. observations. Try estimating the mean…
Estimating the mean (µ) of a distribution — LLN
Estimating a single value in the distribution is easier than estimating the full shape of the distribution. The value that everyone is estimating when talking about a model is the mean (µ).
The law of large numbers (LLN) explains how the mean of a distribution is guaranteed to be estimated correctly after inspecting a large number of i.i.d. observations.
But again, we are still at the same problem: we do not have access to such large datasets. So, how is LLN better than the GC theorem?
Well, LLN requires a large number, but it is a smaller number than GC.
Check the animation in Figure 1 which shows GC and LLN in action. After ~4,000 datapoints, the true mean was estimated to the exact value. However, at ~6,000 datapoints, the distribution shape was still spotty at some places.

Figure 1: This animation shows the Glivenko-Cantelli (GC) and the law of large numbers (LLN) theories in action. GC states that empirical CDF of large i.i.d. observations will converge to the true CDF of the original distribution. LLN states that the mean of large i.i.d. observations will converge to the true mean. While both require large i.i.d. observations, LLN converge faster than GC
One might argue that the distribution shape is not that far off, and it might be completely fine to accept that estimation.
And one might be correct!
Even more, if one uses the Kernel Density Estimation (KDE) function on this distribution, the two distributions would have converged to the same one from sample size < 1,000.
But my aim right now is to just build an intuition about these concepts, so that I can speak mindfully and responsibly about my model later.
⚠️ Simplification 2
Estimating the true mean of the distribution shape is still hard, because it requires large i.i.d. observations still. Try approximating it…
Estimating a range for where the mean (µ) might be — CLT
So, if one does not have enough data to estimate the true distribution nor the true mean, the next simplification step is to find a way to approximate the estimation of that mean.
And this is where the Central Limit Theorem (CLT) comes in.
Key Idea — CLT
The CLT does not guarantee the true mean.
It guarantees that the means of many small i.i.d. samples will form a normal distribution, which helps narrow down where the true mean might be.
If I have a large number of samples, the mean of the means distribution will converge to the true mean of the distribution I am interested in (follows from LLN).
If I have a low number of samples, the means distribution is merely gonna approximate this true mean for me.
I do not know if you are finding it a bit hard to grasp on this concept because of the nested distributions, approximations, and averaging. But I do, and therefore, I made this animation in Figure 2 to make it easier for me to remember the nuances of what has just been explained.

Figure 2: This animation shows the Central Limit Theorem (CLT) in action. Given a true distribution that we do not know, sampling N points for K times and plotting the mean of each distribution is guaranteed to follow a normal distribution.
Mini Takeaway — Why CLT matters:
- CLT transforms the messy problem of sampling means into a well-behaved normal distribution.
- Normal distributions make it easy to calculate probabilities.
But what type of probabilities would we be interested in?
In this case, it is the confidence intervals!
Confidence interval (CI)
CI is a range of values where a certain number of my distribution data points will confidently reside. For example, a normal distribution follows a rule called 68-95-99.7%. This rule states that
- 68% of the observations in a normal distribution are within one standard deviation of the mean
- 95% are within two standard deviations
- 99.7% are within three standard deviations
Why is this relevant?
If I want to report the range where my true mean resides with a certain level of confidence, I only need to specify this level, and then check it on my distribution. If I pick one of these three pre-defined rules (i.e., 95% CI), then I just say that with 95% confidence, the true mean of my distribution is two standard deviations from the mean of my distribution.
This mean and standard deviation are calculated from the distribution of the i.i.d. samples’ means (check Figure 2).
If I want a different CI level, let’s say 80%; then I just use a pre-defined table and equation to calculate it (more details on this later)

✅ CI in one line:
A confidence interval in this context is just a range where the true mean is expected to lie, with a chosen level of certainty.
Back to aqueous solubility and simulation land
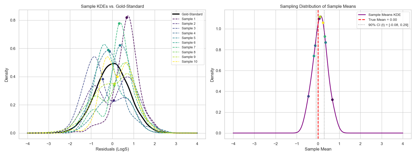
Figure 4 is the last figure shown in the previous blog post. It showed the distribution of a Gold Standard model performance, which would correspond to the true distribution I would hope to eventually know when I have access to 10,000 molecules to test my model on.
However, I showed that one usually only gets access to small datasets from their chemist over a period of time.
So, until one has access to a large test set, one is limited to small test sets.

And with small test sets, the only thing one can do is ask CLT to help them out!
Applying CLT on my samples means tells me that, with 90% CI, my true mean would be somewhere between -0.08 and 0.29. And in this simulated case where I know my true mean, the range did indeed encapsulate the value of the true mean, which is 0 (Figure 5).

BUT… remember the i.i.d. condition?
Everything I have been discussing so far to estimate the distribution, the mean, or the approximation of the mean has been requiring this i.i.d. condition.
⚠️ Reminder: Without i.i.d. data, neither LLN nor CLT can be trusted. But what is i.i.d. exactly? and why is it so much demand??
When we require our test set to be i.i.d., we are asking for the following
- Independence (e.g., the molecules in one sample are not the same or related to each other)
- Identical Distribution (e.g., all molecules are measured for the same property under the same conditions)
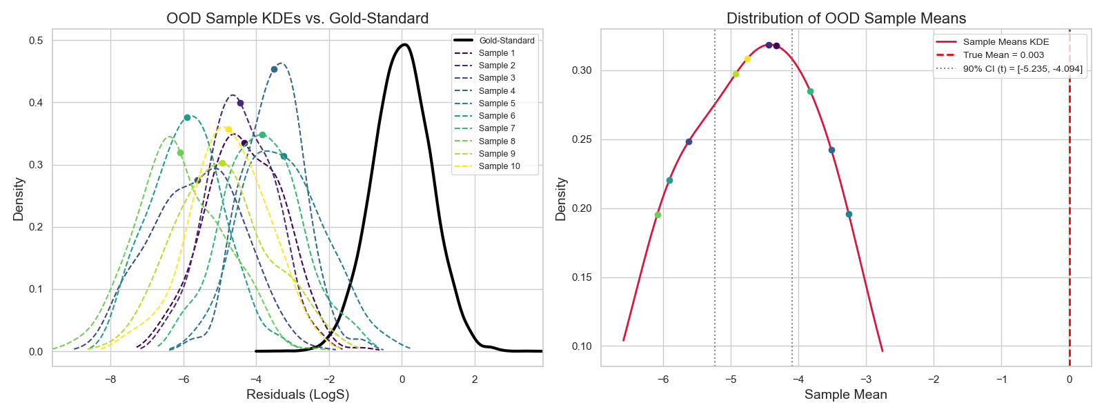
The independence condition is vital. If our molecules are from the same family or share characteristics that makes them behave similarly for the measured property, the model will make similar predictions for all of them. Thus, the error distributions would cluster in one region of the model’s performance space (Figure 6). This fails to faithfully cover the full range of the model’s true behavior. Additionally, my means distribution is no longer normally distributed, and my 90% CI are no longer trusted.

The identically distributed condition is essential because it’s tied to the actual question we’re trying to answer!
If my problem is “I want to predict aqueous solubility using LogS units that range from -12 to 2”, then I must not test it on molecules that would fall outside these conditions.
To give a naive example: imagine test sets that actually belong to a lipophilicity dataset rather than aqueous solubility. These may be measured in LogD and range from -3 to 6.
If my model is trained to predict values between -12 and 2 LogS, It will fail to predict any value above 2. This will result in a model always underestimating the values I am trying to predict, and I would be falsely led to believe that the model is underperforming (Figure 7). But the truth is:
- My model was trained to predict LogS not LogD
- My model was trained to predict LogS between -12 to 2, not any other values.

The example is simplistic, because nobody would likely mix completely unrelated properties. However, in real-life, this issue manifests subtly—by mixing different ranges of the same property, or mixing different types of the same property. This is known as an Out-of-Distribution (OOD) problem.
Take the real-life datasets we showed in the last post (shown again in Figure 8). The dataset from AstraZeneca (AZ) spans the range of -7 to -3 LogS. The next dataset from BioGen spans the range -9.5 to -6.5 LogS. If one trains a model on AZ and tests it on BioGen, the model will fail tragically, but this should not be used to disqualify the model in any sense!
Additionally, One needs to notice the difference in the experimental conditions. AZ measured apparent solubility at pH 7.4, while BioGen measured kinetic solubility at pH 6.8. These conditions are known to affect the solubility behavior of the same molecule. So, again, If a model is trained to predict apparent solubility at pH 7.4, it might fail dramatically when tested on kinetic solubility at pH 6.8, and this should not disqualify the model as well!

The model knows what it has seen. It does not know what is unknown to it!
If a model is trained to predict dogs and cats, it will never be able to predict a horse when presented with one. Just as if my only knowledge of languages is Arabic and English, I will not suddenly start conversing in Norwegian.
So, here we are with our solution: to use CLT to approximate a model’s true mean with some level of confidence, one needs access to multiple small test sets that are independent AND identically distributed.
Can we access these?
If yes, then hooray! We’ve reached the end of the blog. All I need to do is to test my model on these small sets, plot the distribution of their means, and I’ve found a good approximation to the model’s true expected error.
Going back full circle
The means distribution that the CLT guarantees is in itself a distribution. And when I use concepts like CI, I already assume that I have the true shape of my distribution.
But this was exactly how I started this blog… estimating the distribution shape is a tough job because it requires a large number of datapoints to arrive at the final true shape.
Let’s pause here: this might sound like a trap. But the fact that CLT gives me a normal distribution already makes life much easier (i.e., it is easier to be estimated than other distributions -more animations on this later-). However, one still needs to be aware of the nuances of building this distribution.
The way one builds the means distribution is by collecting K i.i.d samples of size N (Figure 9).
- Increasing
N(data points per sample) makes each sample more representative of the true distribution, leading the boundaries of this distribution closer to the true mean. - Increasing
K(number of samples) adds more points to the distribution, making the shape smoother and better defined. This does not narrow the range of our estimation; however, it makes the confidence interval more reliable.

So, beyond ensuring samples are i.i.d., one also needs to consider how many samples to collect, and how many data points to be in each sample.
Each combination of N and K will lead to different shape and range. One needs to find the sweet spot for their dataset and model’s performance.
Wrapping Up
Let’s summarize:
- Estimating the full distribution shape: needs massive i.i.d. data (GC theorem).
- Estimating the mean: easier, but still requires many i.i.d. observations (LLN).
- Approximating the mean: CLT allows this through multiple small i.i.d. samples.
- These samples must be independent and identically distributed.
- Both the size of each sample (N) and the number of samples (K) matter.
A problem from our field
Even with all discussed, I haven’t reached a way to quantify my model’s performance because, I -a researcher who does not work with a chemist who provides me with molecules now and then-, don’t have access to many such i.i.d. small test sets!
In principle, I only have access to the public datasets similar to the ones I presented in Figure 8. Theoretically, these datasets can be serving as small test sets for each other, however, our limited knowledge of the metadata of each dataset makes it hard to determine whether these distributions are identically distributed or not. Thus, breaking a pillar of the CLT approach.
And the other tricky question is, in a field of small datasets, if I got access to new data, should it go for training or testing?
So… what can I do??? How to escape this siege?
That will be the topic of the next post.
Now, one deserves a break after all of this!
